Pep13347 | Protein Kinase C (530-558) | 122613-29-0
- 詳細描述
- 資料下載
|
貨號 |
Pep13347 |
|
名稱 |
Protein Kinase C (530-558) |
|
其他名稱 |
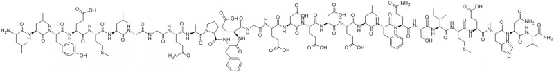
PROTEIN KINASE C (530-558) PROTEIN KINASE C FRAGMENT 530-558 LLYEMLAGQAPFEGEDEDELFQSIMEHNV LLYEMLAGQAPFEGEDEDELFQSIMEHNV-NH2 H-LEU-LEU-TYR-GLU-MET-LEU-ALA-GLY-GLN-ALA-PRO-PHE-GLU-GLY-GLU-ASP-GLU-ASP-GLU-LEU-PHE-GLN-SER-ILE-MET-GLU-HIS-ASN-VAL-NH2 H-LEU-LEU-TYR-GLU-MET-LEU-ALA-GLY-GLN-ALA-PRO-PHE-GLU-GLY-GLU-ASP-GLU-ASP-GLU-LEU-PHE-GLN-SER-ILE-MET-GLU-HIS-ASN-VAL-NH2 LEU-LEU-TYR-GLU-MET-LEU-ALA-GLY-GLN-ALA-PRO-PHE-GLU-GLY-GLU-ASP-GLU-ASP-GLU-LEU-PHE-GLN-SER-ILE-MET-GLU-HIS-ASN-VAL-NH2
SER-PHE-VAL-ASN-SER-GLU-PHE-LEU-LYS-PRO-GLU-VAL-LYS-SER: SFVNSEFLKPEVKS |
|
CAS No. |
122613-29-0 |
|
單字母序列 |
LLYEMLAGQAPFEGEDEDELFQ SIMEHNV-NH2 |
|
三字母序列 |
Leu-Leu-Tyr-Glu-Met-Leu-Ala-Gly-Gln-Ala-Pro-Phe-Glu-Gly-Glu-Asp-Glu-Asp-Glu-Leu-Phe-Gln-Ser-Ile-Met-Glu-His-Asn-Val-NH2 | H-Leu-Leu-Tyr-Glu-Met-Leu-Ala-Gly-Gln-Ala-Pro-Phe-Glu-Gly-Glu-Asp-Glu-Asp-Glu-Leu-Phe-Gln-Ser-Ile-Met-Glu-His-Asn-Val-NH2 |





南京肽業(yè)生物科技有限公司
地址:
Email: info@njpeptide.com
總機:025-58361106-801
