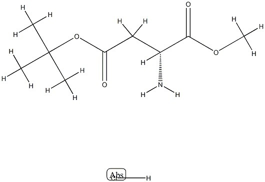
R41268|H-D-Asp(OtBu)-OMe?HCl
- 詳細(xì)描述
- 資料下載
R41268|H-D-Asp(OtBu)-OMe·HCl
|
中文名稱: |
D-天冬氨酸-Α-甲酯-Β-叔丁酯鹽酸鹽 |
|
中文同義詞: |
|
|
英文名稱: |
H-D-Asp(OtBu)-OMe·HCl |
|
英文同義詞: |
4-tert-butyl 1-methyl (2R)-2-aminobutanedioate hydrochloride;4-O-tert-butyl 1-O-methyl (2R)-2-aminobutanedioate;H-D-Asp(OtBu)-OMe·HCl |
|
CAS號(hào): |
63329-02-2 |
|
分子式: |
C9H18ClNO4 |
|
分子量: |
239.69652 |





南京肽業(yè)生物科技有限公司
地址:
Email: info@njpeptide.com
總機(jī):025-58361106-801
