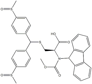
R00442|1584646-97-8|Fmoc-Cys(Msbh)-OH
- 詳細描述
- 資料下載
R00442|1584646-97-8|Fmoc-Cys(Msbh)-OH
|
中文名稱: |
|
|
中文同義詞: |
|
|
英文名稱: |
(9H-Fluoren-9-yl)MethOxy]Carbonyl Cys(Msbh)-OH |
|
英文同義詞: |
(2R)-3-{[bis(4-methanesulfinylphenyl)methyl]sulfanyl}-2-({[(9H-fluoren-9-yl)methoxy]carbonyl}amino)propanoic acid;(9H-Fluoren-9-yl)MethOxy]Carbonyl Cys(Msbh)-OH;Fmoc-Cys(Msbh)-OH |
|
CAS號: |
1584646-97-8 |
|
分子式: |
C33H31NO6S3 |
|
分子量: |
633.79734 |





南京肽業(yè)生物科技有限公司
地址:
Email: info@njpeptide.com
總機:025-58361106-801
