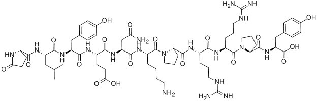
Pep13107 | Neurotensin (1-11) | 74032-89-6
- 詳細描述
- 資料下載
Pep13107 | Neurotensin (1-11) | 74032-89-6
|
貨號 |
Pep13107 |
|
名稱 |
Neurotensin (1-11) |
|
中文其他名稱 |
GLP-LEU-TYR-GLU-ASN-LYS: GLP-LYENK;PYR-LEU-TYR-GLU-ASN-LYS-PRO-ARG-ARG-PRO-TYR |
|
英文其他名稱 |
GLP-LEU-TYR-GLU-ASN-LYS-PRO-ARG-ARG-PRO-TYR;NEUROTENSIN (1-11);NEUROTENSIN FRAGMENT 1-11;PYR-LEU-TYR-GLU-ASN-LYS-PRO-ARG-ARG-PRO-TYR-OH;PGLU-LEU-TYR-GLU-ASN-LYS-PRO-ARG-ARG-PRO-TYR;pGlu-Leu-Tyr-Glu-Asn-Lys-Pro-Arg-Arg-Pro-Tyr-OH |
|
CAS No. |
74032-89-6 |
|
單字母序列 |
Pyr-LYENKPRRPY |
|
三字母序列 |
Pyr-Leu-Tyr-Glu-Asn-Lys-Pro-Arg-Arg-Pro-Tyr | Pyr-Leu-Tyr-Glu-Asn-Lys-Pro-Arg-Arg-Pro-Tyr-OH |





南京肽業(yè)生物科技有限公司
地址:
Email: info@njpeptide.com
總機:025-58361106-801
