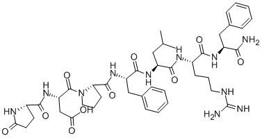
Pep12117 | Pyr-Asp-Pro-Phe-Leu-Arg-Phe-NH2 | 98495-35-3
- 詳細(xì)描述
- 資料下載
Pep12117 | Pyr-Asp-Pro-Phe-Leu-Arg-Phe-NH2 | 98495-35-3
|
貨號(hào) |
Pep12117 |
|
名稱 |
Pyr-Asp-Pro-Phe-Leu-Arg-Phe-NH2 |
|
中文其他名稱 |
GLP-ASP-PRO-PHE-LEU-ARG-PHE-NH2: GLP-DPFLRF-NH2 |
|
英文其他名稱 |
PGLU-ASP-PRO-PHE-LEU-ARG-PHE AMIDE;PGLU-ASP-PRO-PHE-LEU-ARG-PHE-NH2;PYR-DPFLRFM-NH2;PYR-DPFLRF-NH2;PYR-ASP-PRO-PHE-LEU-ARG-PHE-NH2;pyroglutamyl-aspartyl-prolyl-phenylalanyl-leucyl-arginyl-phenylalaninamide;FMRF-like peptide from Snail Helix aspersa;FMRF-LIKE PEPTIDE, SNAIL |
|
CAS NO. |
98495-35-3 |
|
單字母序列 |
Pyr-DPFLRF-NH2 |
|
三字母序列 |
Pyr-Asp-Pro-Phe-Leu-Arg-Phe-NH2 | Pyr-Asp-Pro-Phe-Leu-Arg-Phe-NH2 |





南京肽業(yè)生物科技有限公司
地址:
Email: info@njpeptide.com
總機(jī):025-58361106-801
